產品中心
農殘、獸藥及化肥類
|
產品編號 |
英文名稱 |
CAS號 |
包裝 |
|
Y1778 |
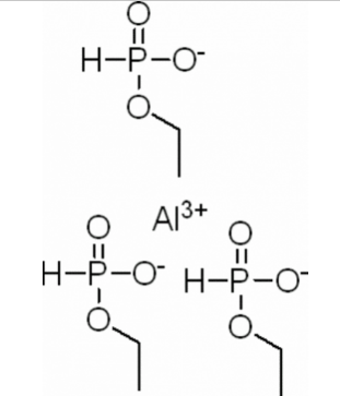
Fosetyl-aluminum |
39148-24-8 |
可根據客戶要求訂制 |
產品編號:Y1778
英文名稱:Fosetyl-aluminum
CAS號: 39148-24-8
分析標準品
分子式 C6H18AlO9P3 分子量354.10

基本信息:
密度 1.303
熔點 300°C
描述
別名 乙磷鋁 ;一乙基膦酸酯鋁鹽;疫霜靈;三(乙基膦酸)鋁;霉疫凈;三乙基膦酸鋁;Aluminum tris(O-ethylphosphonate)
應用 高效、低毒、廣譜內吸性有機膦殺菌劑,用于防治蔬菜、果樹、花卉、經濟作物的病害。
